Technical Details

Turbulence, at its most basic definition, is the chaotic and unpredictable movement of any fluid (air, water, etc). Most people only care about it on airplanes, but in reality we observe and experience it all the time – from gusts of wind, to beautiful waterfalls, to your own bathtub faucet. You may wish to watch this video to understand the basic concepts and causes behind turbulence in the atmosphere:

Depending on the research being done, the measurement and analysis of turbulence can be fairly straightforward or highly complex. However, the basic principles can be summed up in a couple of components:

1) In order to analyze turbulence, an instrument must be able to obtain and record wind measurements very frequently, at least 10 Hz. Standard cup anemometers do not respond quickly enough to turbulent wind fluctuations, so more expensive anemometers with ultrasonic transducers are used. The anemometer thus measures the speed of sound between the transducers in both directions, which allows the temperature to be calculated (from the average speed) as well as the wind velocity (from the speed difference between opposing directions of the sonic pulses).

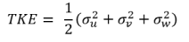
2) The overall intensity of turbulence can be quantified by calculating the wind variability, i.e. the standard deviation of the x, y, and z components of velocity (conventionally referred to as u, v, and w):

TKEeq
We are using an RM-Young sonic anemometer for this experiment, which samples at 32 Hz.